2023年江西单招模拟试题一

以下是高职单招网为大家收集和整理的江西单招模拟试题。
若需要更多的历年真题和课程,请加平台老师微信号码。
下面是各科单招模拟试题详情。
| 第1题: | 被周总理称之为“东方芭蕾”的民间歌舞艺术是?( ) |
| A、 | 花鼓灯 |
| B、 | 凤阳花鼓 |
| C、 | 东北高跷 |
| D、 | 跑旱船 |
| 参考答案:A。试题解析: | |
| 第2题: |
|
| A、 | 2 |
| B、 | -2 |
| C、 | 6 |
| D、 | -6 |
| 参考答案:C。试题解析:
| |
| 第3题: |
|
| A、 |
|
| B、 |
|
| C、 |
|
| D、 |
|
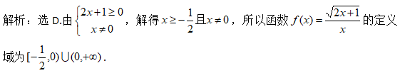
| 参考答案:D。试题解析:
| |
| 第4题: | 美国自由女神像位于( ) |
| A、 | 纽约港口 |
| B、 | 华盛顿市中心 |
| C、 | 第五大道 |
| 参考答案:A。试题解析: | |
| 第5题: | When times are difficult, tell______that pain is part of growing. |
| A、 | you |
| B、 | yourself |
| C、 | your |
| D、 | yours |
| 参考答案:B。试题解析: 考查代词辨析。you你(们);yourself你自己;your你(们)的,形容词性物主代词;yours你(们)的,名词性物主代词。分析句子结构可知,空处作宾语,故排除C、D两项;此处为祈使句,省略了主语you,故用反身代词yourself强调主语,故选B。 | |















