南阳农业职业学院
2024高职单独考试招生
拟录取结果公示
根据《河南省教育厅关于做好2024年高等职业教育单独考试招生和技能拔尖人才免试入学工作的通知》(教学〔2024〕58 号)文件精神,按照我校2024年高职单独考试招生章程有关规定,经学校高职单招工作领导小组审核批准,划定各类型考生录取分数线。现将拟录取结果公示如下:
一、公示时间
4月13日—4月19日
二、各类型考生录取分数线
三、录取规则 1.学校根据各类型生源参加考试人数情况和考生总成绩分别划定录取控制分数线。中外合作较高收费专业、艺术类专业、体育类专业按照专业计划单独划线录取,未完成计划转普通类专业录取。 2.对于录取分数线上的考生,依照分数优先的原则,按总分从高到低顺序进行排序,依次按考生所报专业志愿确定专业,择优录取。 3.对于总分相同的考生:依次按照职业适应性测试(职业技能测试、艺术技能测试、身体素质测试)成绩、文化素质考试成绩(若相同,依次按语文、外语、数学成绩排序)从高到低排序择优录取。 4.中外合作较高收费大数据与会计专业单列录取,录取时,按照参加考试人数类型比例分别划定最低录取控制线,按总分从高到低依次择优录取,该类别考生录取后不得转入其他专业。 5.艺术类专业单列录取,录取时,按照参加考试人数类型比例分别划定最低录取控制线,按总分从高到低依次择优录取,该类别考生录取后不得转入其他专业。 6.体育类专业单列录取,录取时,按照参加考试人数类型比例分别划定最低录取控制线,按总分从高到低依次择优录取,该类别考生录取后不得转入其他专业。 7.学校根据各类型生源报考情况,可适当调整专业招生计划。 8.对文化素质考试、职业适应性测试、职业技能测试成绩、身体素质测试成绩、艺术技能测试成绩单项为零分的,将不予录取。 9.学校录取新生的男女比例不限,对考生的身体健康要求,按照教育部、卫健委《普通高等学校招生体检工作指导意见》及相关补充规定执行。 四、根据上级有关规定,凡被高职单招录取的考生,不再参加普通高考等其他类型的普通高校招生考试。未被录取的考生,可参加普通高考等其他类型的普通高校招生考试。 五、新生入学后,按照河南省教育厅的统一部署对新生进行录取资格审查和入学资格复查。对在报名和考试过程中有弄虚作假或其他违反招生考试规定行为的考生,身体条件不符合《普通高等学校招生体检工作指导意见》要求的考生,将取消其入学与录取资格。 六、公示期间,如对拟录取结果有疑义,请拨打学校招生咨询电话0377-63393888,纪检监督电话:0377-63393995。 七、公示期结束,学校将拟录取结果上报河南省教育考试院办理正式录取手续,最终以河南省教育考试院核定通过为准。高职单招录取考生的录取通知书将随普通高招录取批次考生一起发放。
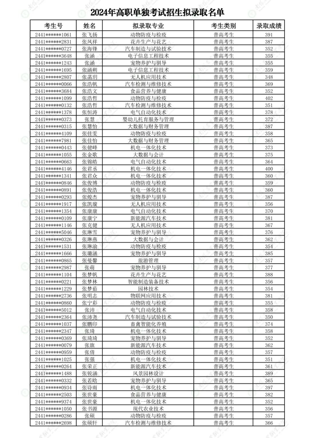
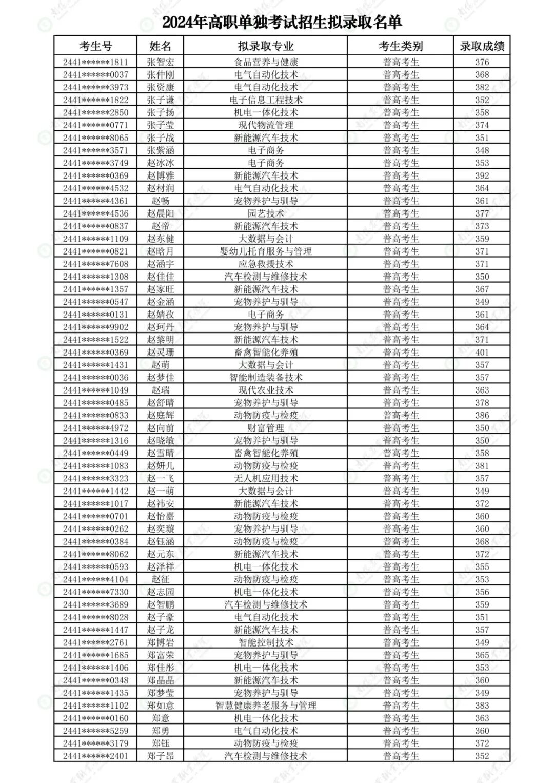
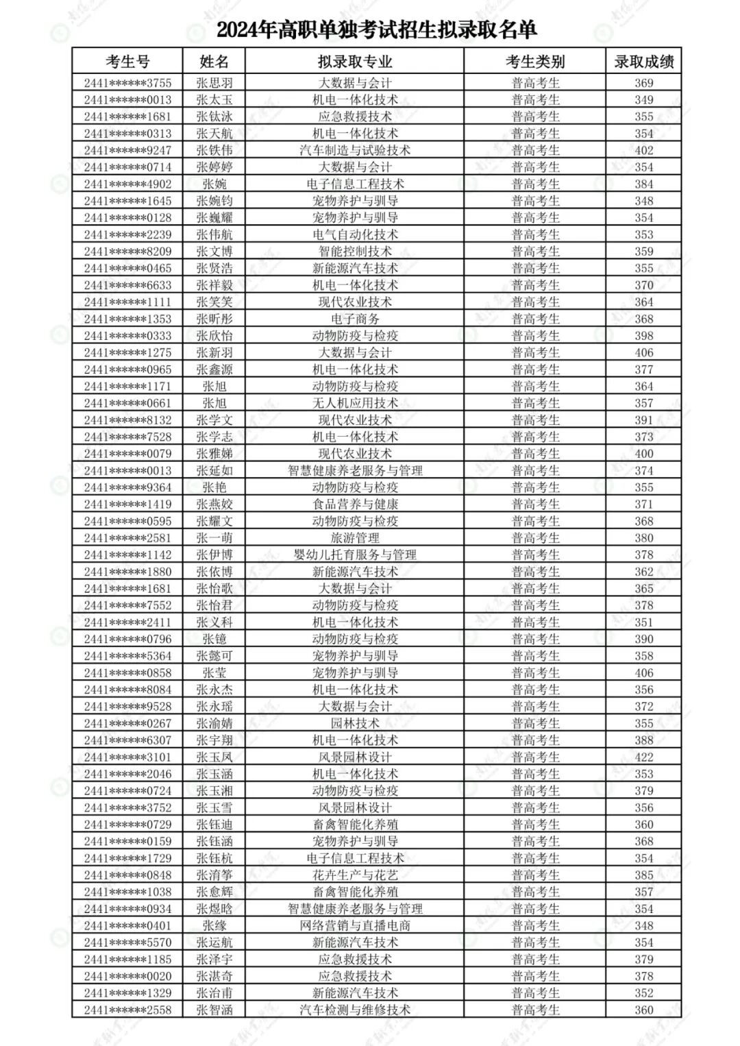
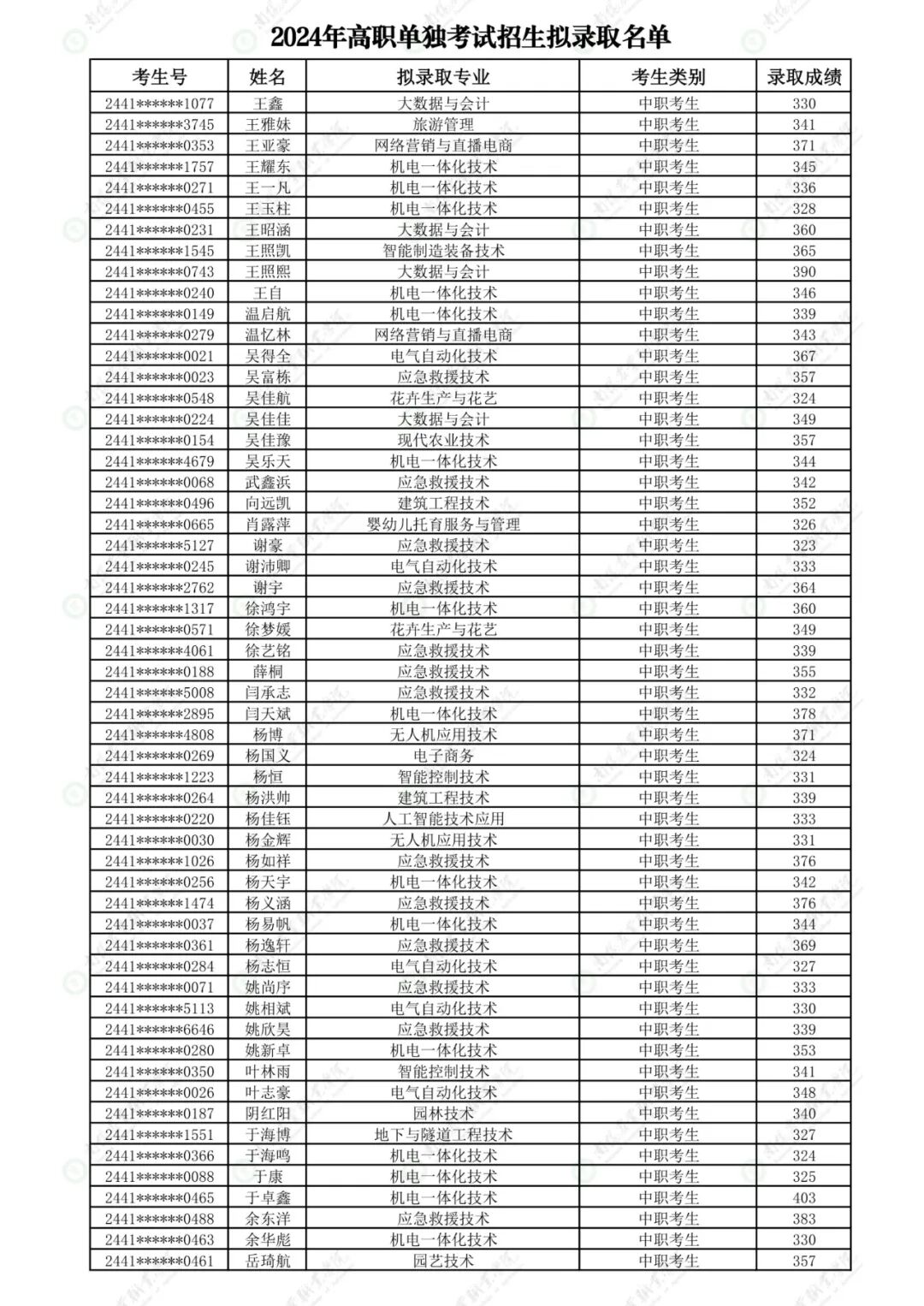
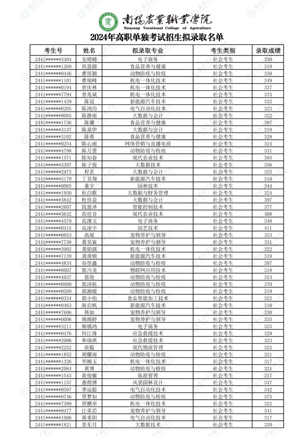
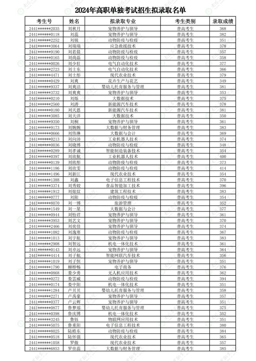
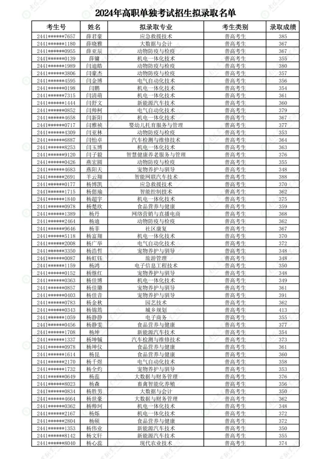
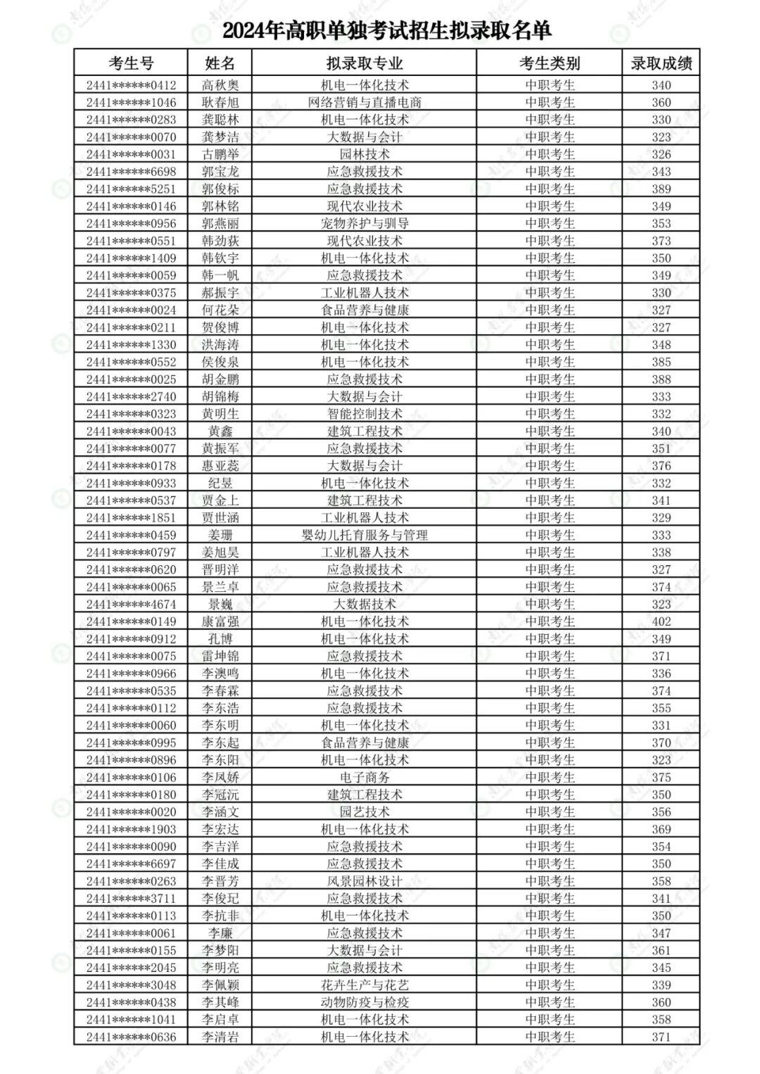
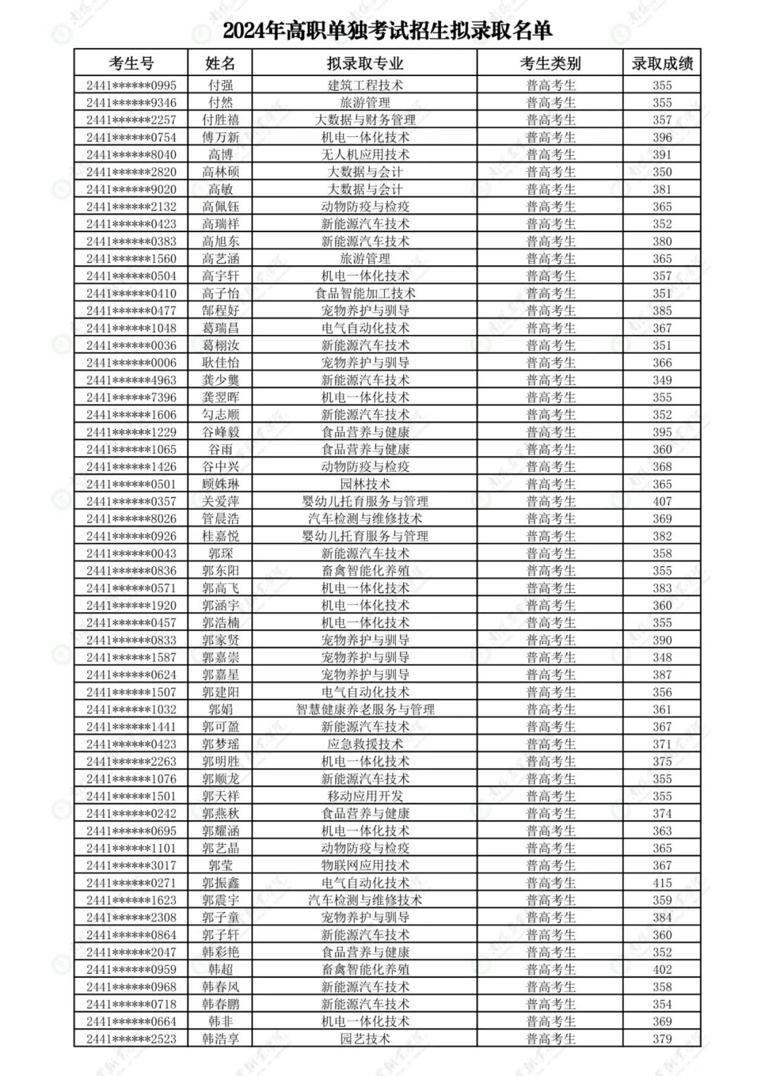
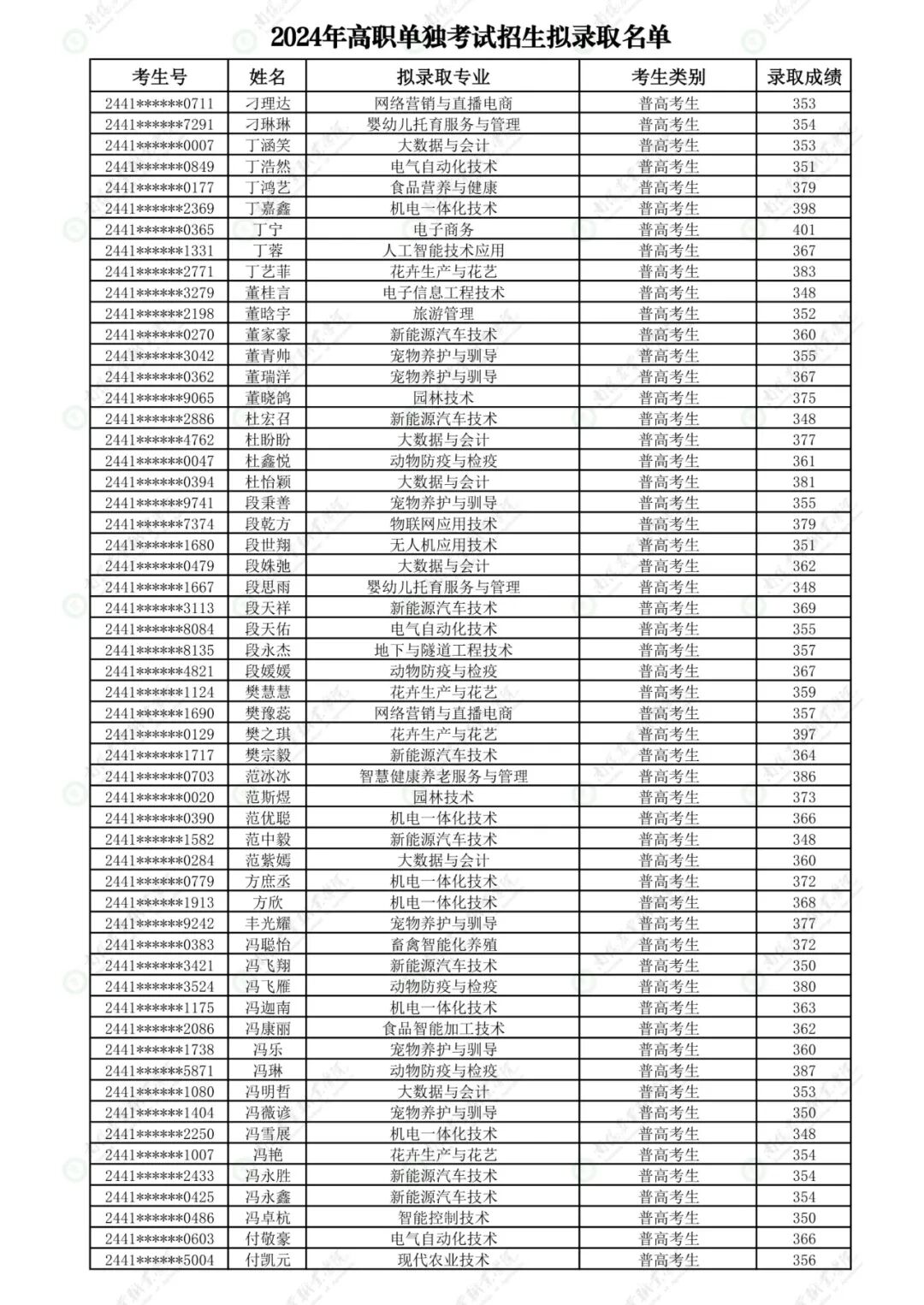
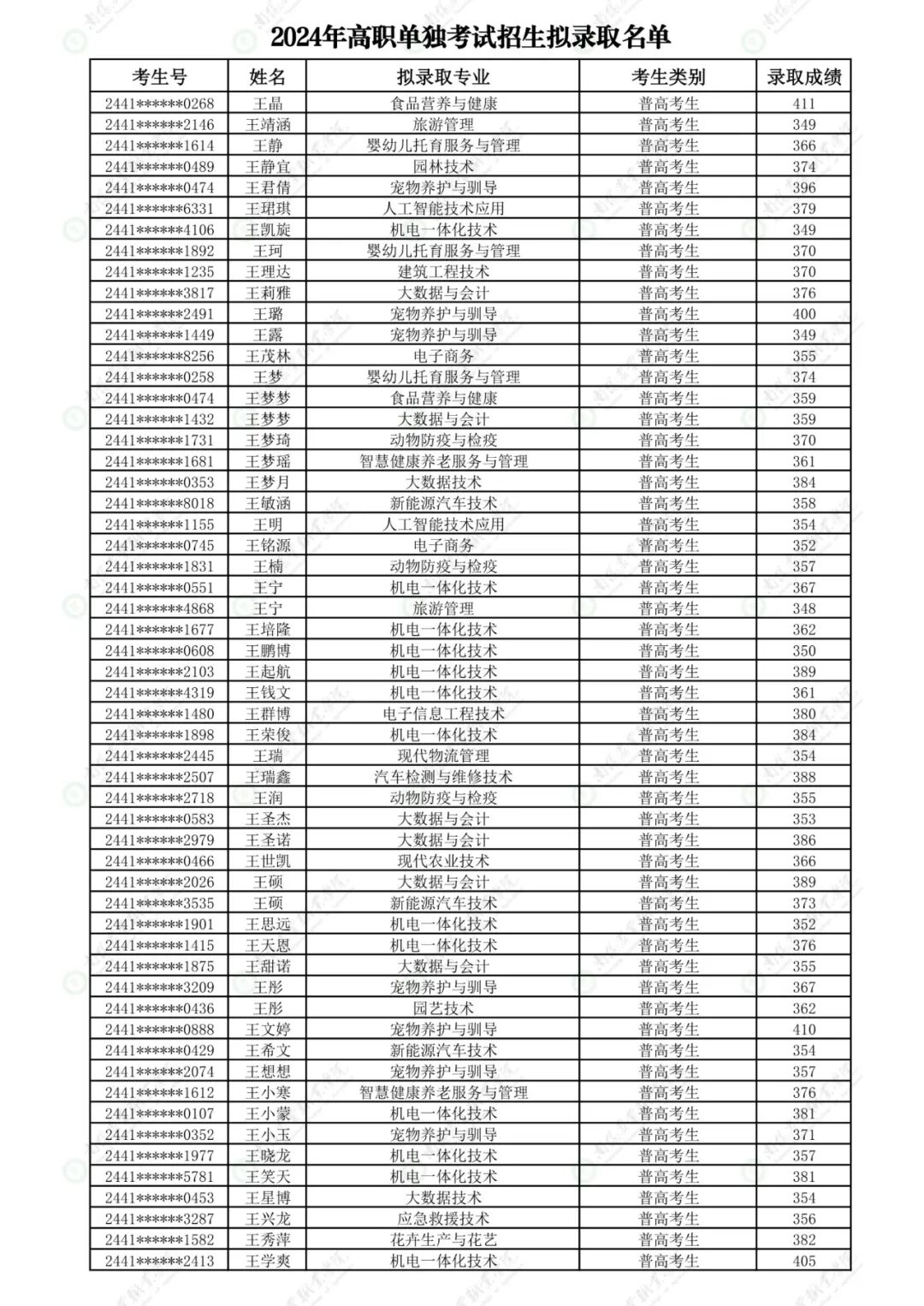
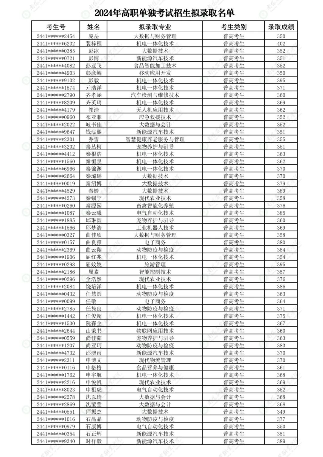
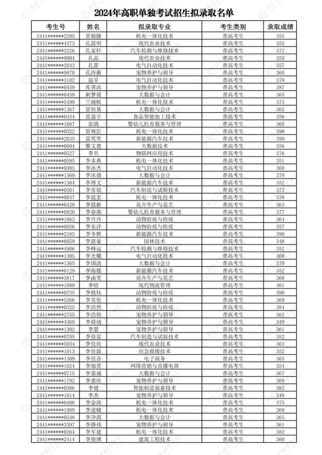
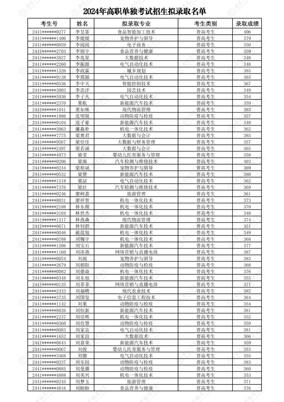
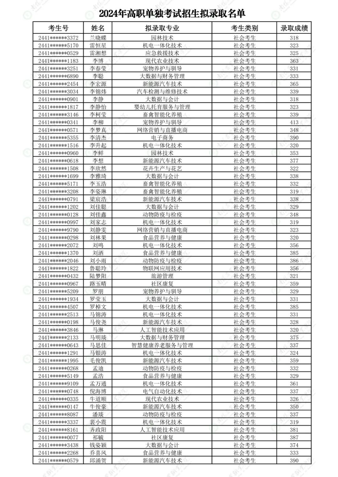
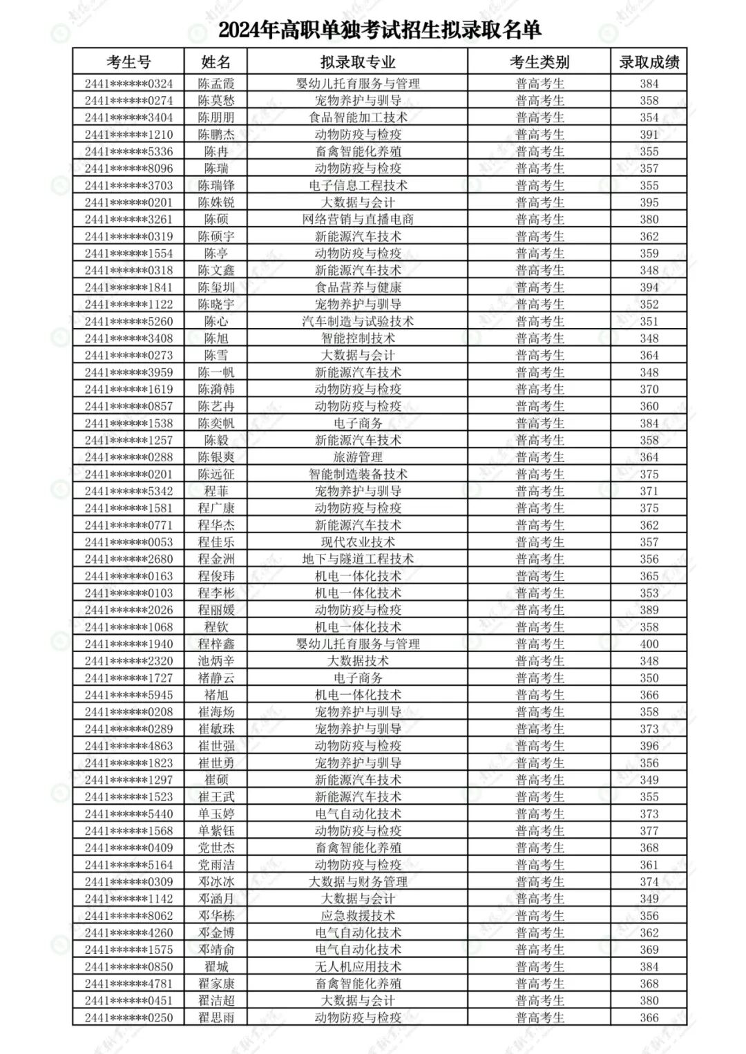
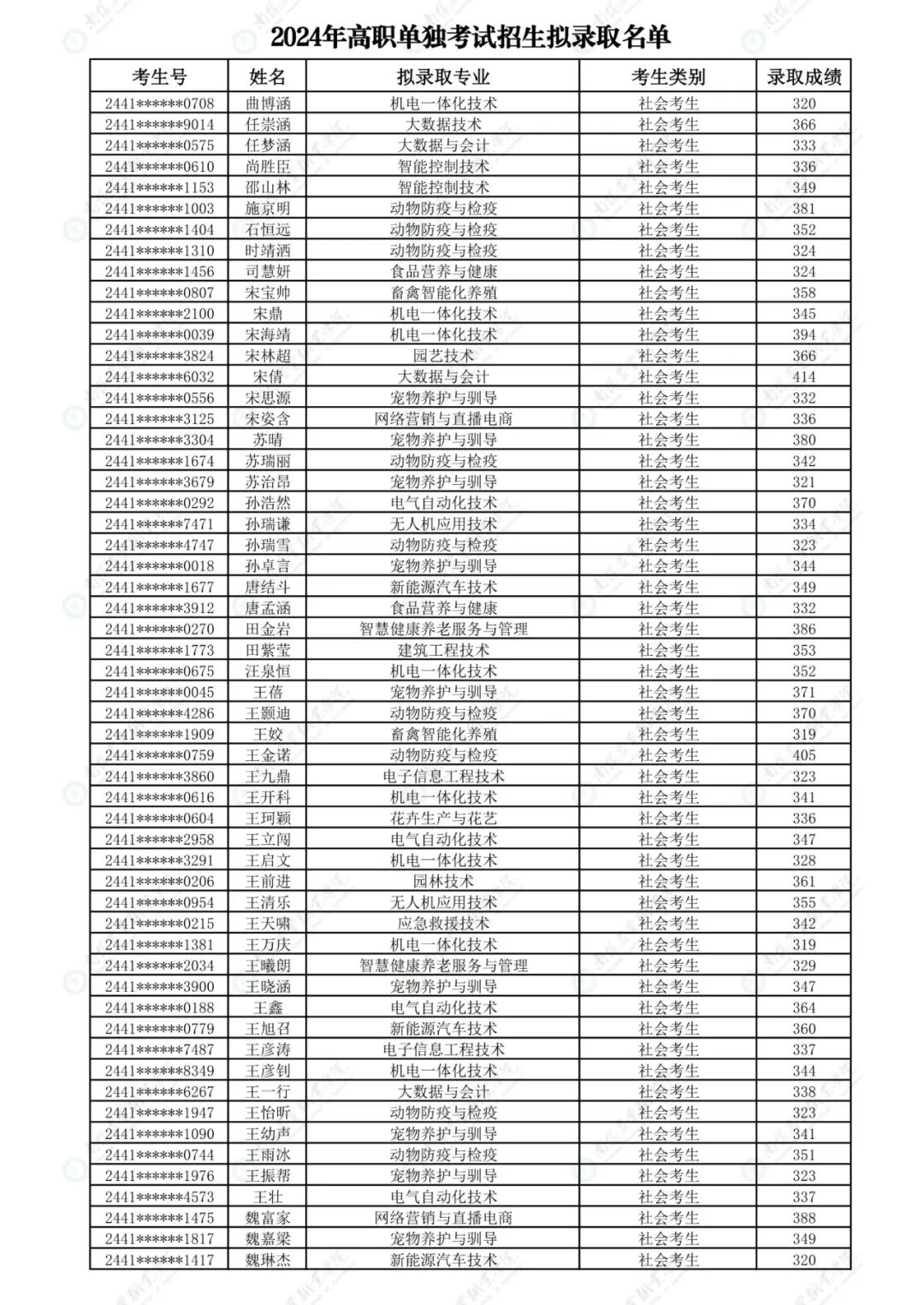
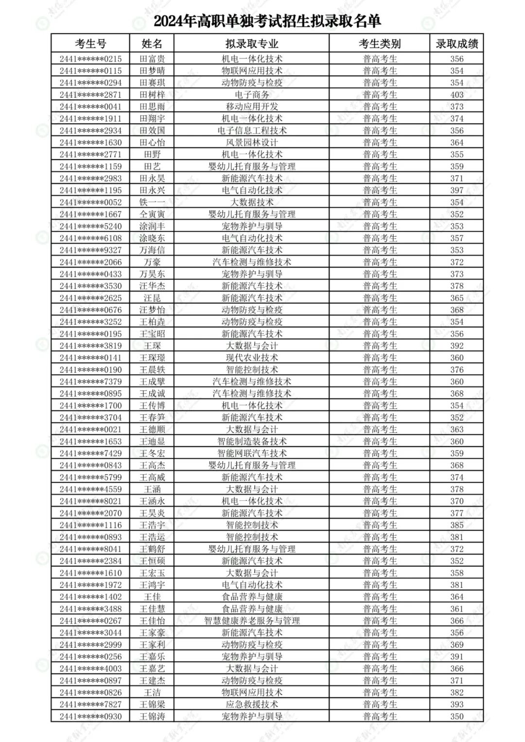
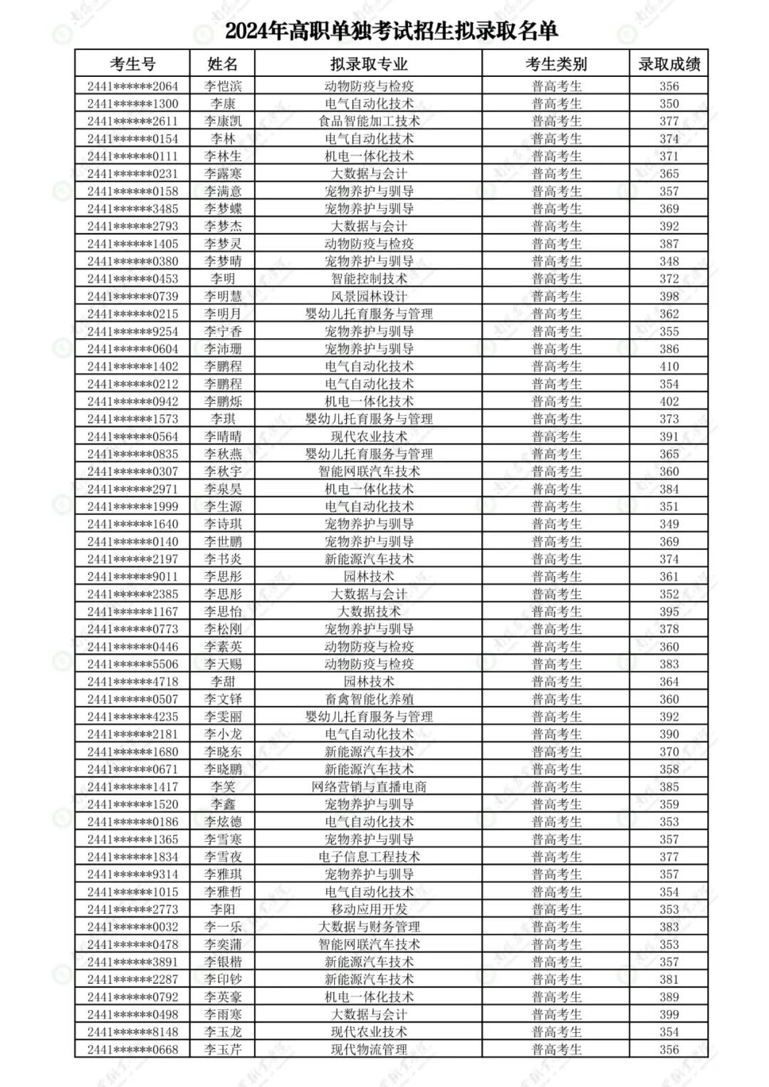
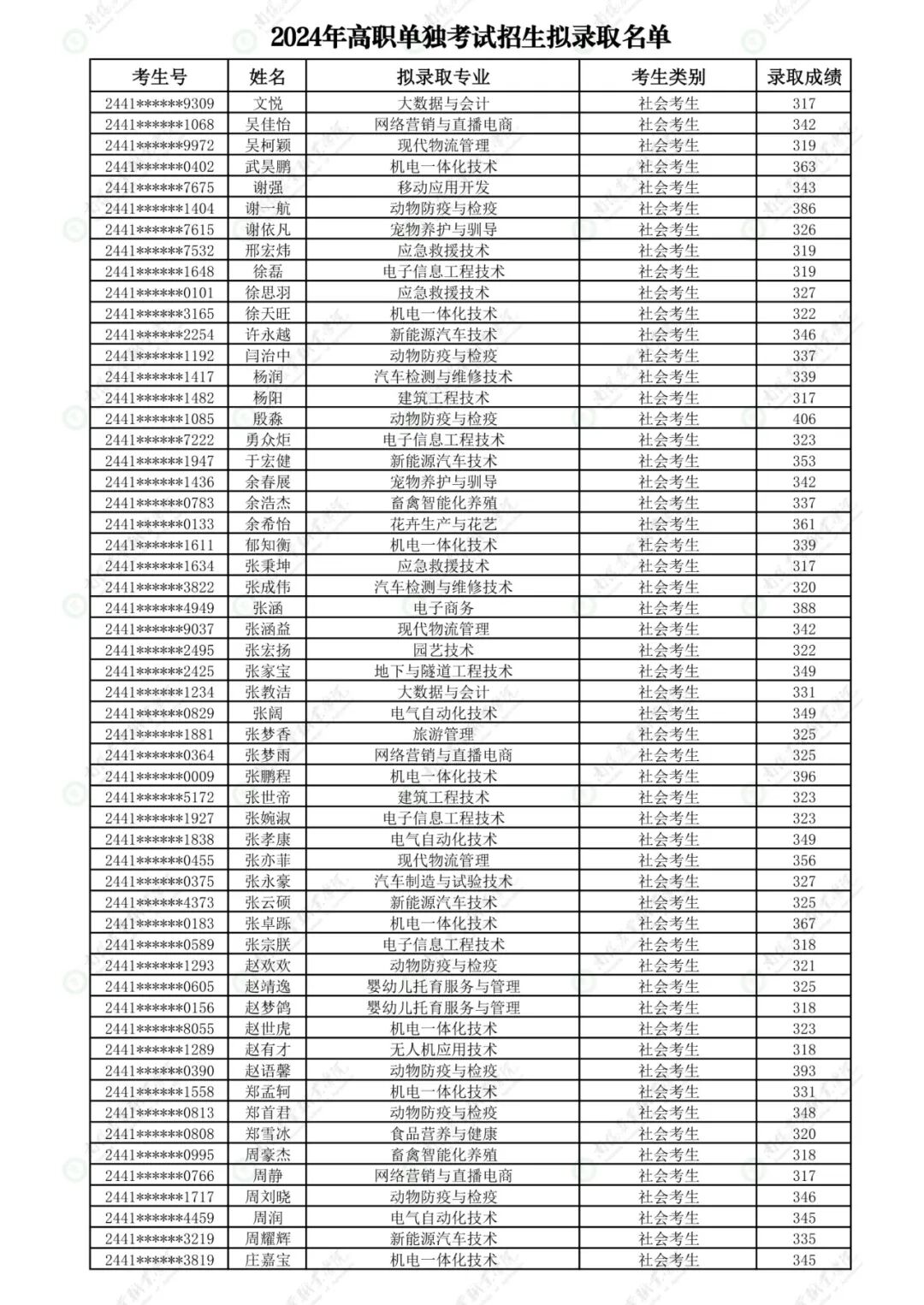
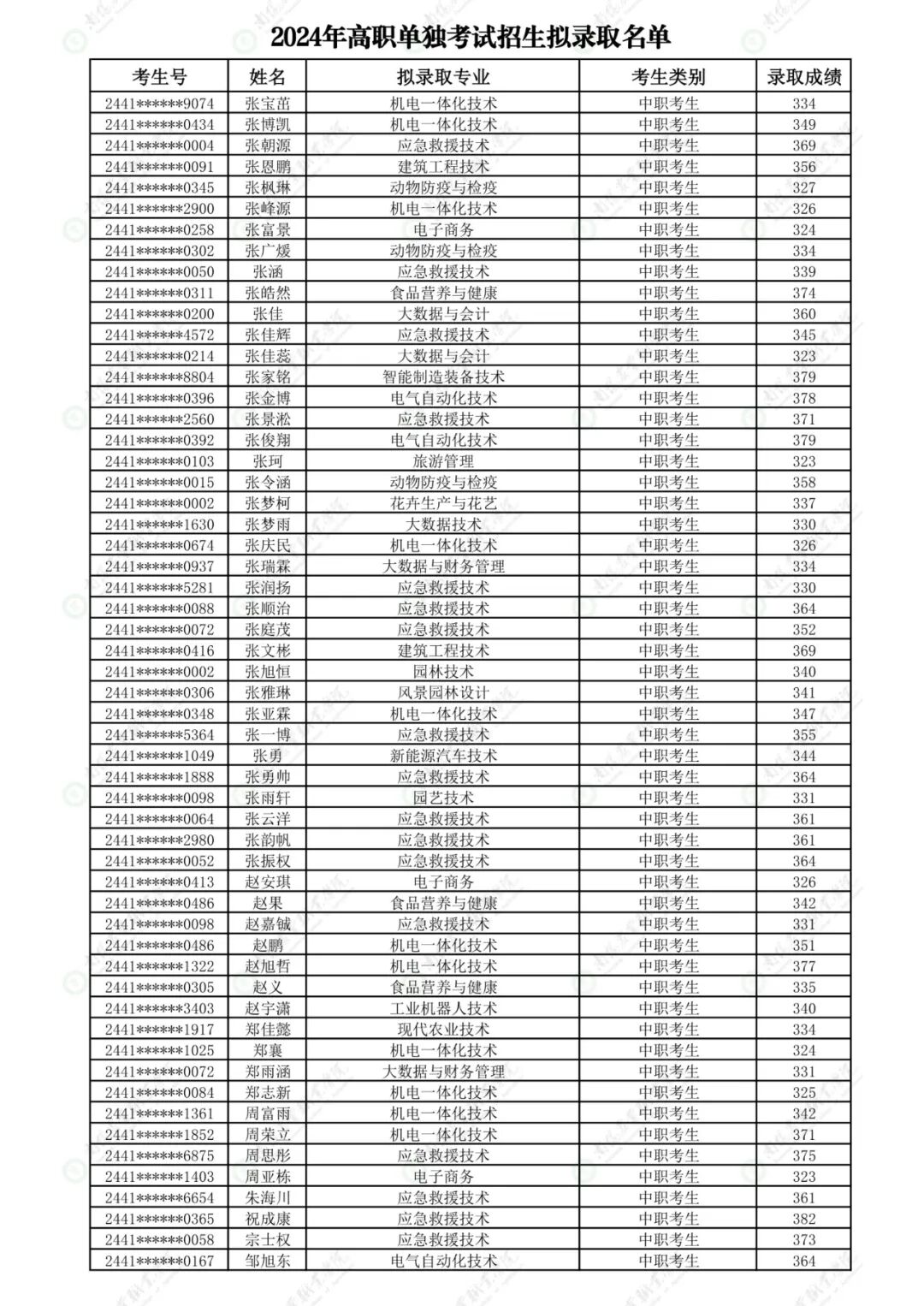
2024年高职单独考试招生拟录取名单
(以考生姓氏拼音首字母方式排序)
声明:学校没有委托任何中介机构或个人进行招生录取工作,对以我校名义组织非法招生等活动的中介机构或个人,我校将依法追究其责任。 学校官网网址: http://www.nyca.edu.cn/ 学校招生信息网: http://www.nyca.edu.cn/zsw 招生处咨询电话: 0377-63393888 63393999 63393222





