不管是社会还是人都是需要不断进步的,如果一直停留在原地的话,我们只能被淘汰掉。随着教育的进步,高考不在是唯一的出路,涌现了许多技术性的学校,单招也就随之诞生了,相比与高考单招更适合成绩不好的同学,这也是这么多同学喜欢报考单招的原因。今天小编就为大家整理了2022年吉林的单招数学模拟试题,有感兴趣的同学可以参考一下。
2022年吉林单招数学模拟试题

第1题

第2题

第3题

第4题
计算:1+2+3+···+100=()。
A.5005 B.5050 C.5500 D.5505
第5题

第6题

第7题

第8题


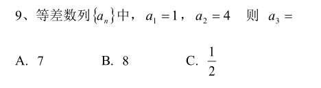
第9题
已知A是锐角,则2A是( )。
A.第一象限角 B.第二象限角 C.第一或第二象限角 D.小于180°的正角
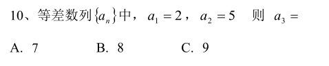
第10题

第11题

第12题

第13题
不等式 |x-2|<2 的解集为
(A) (0,4) (B) (-∞,0)U(4,+∞)(C) (-2,2)(D) (-∞,2)U(2,+∞)
第14题

第15题

第16题

第17题
用列举法表示小于2的自然数正确的是()。
A.{ 1,0 } B.{1 ,2 } C.{ 1 } D.{−1, 1 ,0 }
第18题

第19题

第20题

上文就是小编整理的关于吉林2022年单招数学模拟试题的全部内容了,不知道各位同学看完之后,觉得怎么样呢?该试题来源于网络,仅供各位同学参考。其实不管是以前还是现在,学习都是最大概率可以改变自己的选择,即便是以后工作也是需要不断学习的,所以小编在这里也祝福大家可以通过自己的努力拿到心仪院校的录取通知书。









