不管是社会还是人都是需要不断进步的,如果一直停留在原地的话,我们只能被淘汰掉。随着教育的进步,高考不在是唯一的出路,涌现了许多技术性的学校,单招也就随之诞生了,相比与高考单招更适合成绩不好的同学,这也是这么多同学喜欢报考单招的原因。今天小编就为大家整理了2022年山西的单招数学模拟试题,有感兴趣的同学可以参考一下。
2022年山西单招数学模拟试题

第1题

第2题

第3题
33、已知正方体的边长是 1 ,则正方体的体积为 ( )
A. 1 B. 8 C. 27
第4题

第5题

第6题

第7题

第8题
下列关系正确的是()。
A.sina+cosa=1
B.(sina+cosa)2=1
C.sin2a+cos2a=1
D.sin2a+cos2β=1
第9题

第10题

第11题

第12题

第13题

第14题

第15题

第16题

第17题
“a是整数”是“a是自然数”的( )条件。
A.充要 B.充分 C.必要 D.不确定
第18题

第19题

第20题

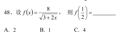
以上就是小编整理的关于山西2022单招数学模拟试题的全部内容了,该试题来源于网络,仅供各位同学参考。对于现在的同学而言学习可能只是一件稀松平常的事情,但是以后你会发现所积累的知识会发挥巨大的作用所以请各位同学珍惜现在的学习机会。高职单招网的小编会持续为大家更新更多的招考内容的。






