每个人都有梦想,这些梦想就像是房子,但是这幢房子只能我们自己一砖一瓦的去盖起来,同学们现在能做的就是认真学习,在单招考试中取得一个好成绩,进入一个好院校,为自己的梦想添砖加瓦,现在学习虽然辛苦,但是只要不怕困难,克服掉困难就一定能在上一层离自己的梦想更近一步。今天小编为大家整理了新疆2022年的单招数学模拟试题,感兴趣的同学可以参考一下。
2022年新疆单招数学模拟试题

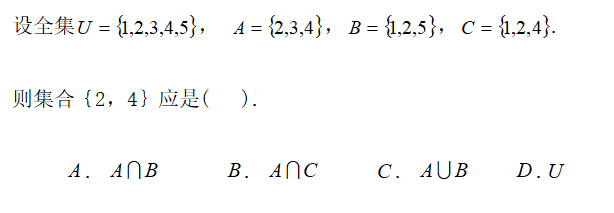
第1题

第2题

第3题

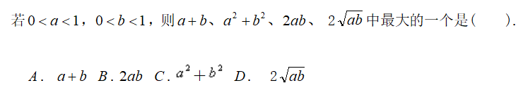
第4题

第5题

第6题

第7题


第8题

第9题

第10题

第11题

第12题

第13题

第14题

第15题

第16题

第17题

第18题

对于小编整理的2022年新疆单招数学模拟试题同学们看完之后觉得怎么样呢,该试题来源于网络,仅供各位同学作为参考。多做练习确实是可以提升成绩,让自己对知识掌握得更熟练,但是对于一些理论知识还是要去认真记忆的。其实留给各位同学的时间还是很充裕的,同学们可以抓紧时间,多复习一下。小编相信各位同学只要努力一定可以在单招考试中取得好成绩的。










