2023年广西单招模拟试题答案及解析四

以下是高职单招网为大家收集和整理的广西单招模拟试题。
若需要更多的历年真题和课程,请加平台老师微信号码。
下面是各科单招模拟试题详情。
| 第1题: | Don't forget the letter for me when you pass by the post office. |
| A、 | post |
| B、 | to post |
| C、 | posted |
| D、 | posting |
| 参考答案:B。试题解析: 考查不定式作宾语。句意:你经过邮局时别忘了替我寄这封信。forget to do sth忘记要做某事;forget doing sth 忘记做过某事。根据句意表示事情已经发生。故选B项。 | |
| 第2题: | 与东经 120 度经线共同组成经线圈的另一条经线的经度是( ) |
| A、 | 东经 60 度 |
| B、 | 西经 60 度 |
| C、 | 西经 120 度 |
| D、 | 0 度 |
| 参考答案:B。试题解析: | |
| 第3题: | 2001年,北京申办2008年奥运会获得成功,这是**民族的骄傲。根据北京奥运会组委会的安排,2008年北京奥运会将于何时开幕? |
| A、 | 2008年7月23日 |
| B、 | 2008年7月24日 |
| C、 | 2008年8月8日 |
| D、 | 2008年9月9号 |
| 参考答案:C。试题解析: | |
| 第4题: |
|
| A、 | 4 |
| B、 | 2 |
| C、 | 1 |
| D、 | 8 |
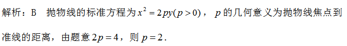
| 参考答案:B。试题解析:
| |
| 第5题: | 世界上最古老的大学是( ) |
| A、 | 剑桥大学 |
| B、 | 巴黎大学 |
| C、 | 卡拉维因大学 |
| 参考答案:C。试题解析: | |
| 第6题: |
|
| A、 | -7 |
| B、 | -5 |
| C、 | -1 |
| D、 | 1 |
| 参考答案:C。试题解析:
| |
| 第7题: | 个人 ( )是一张无字的却无比重要的名片,是人与人交往的基础。 |
| A、 | 文化 |
| B、 | 文明 |
| C、 | 修养 |
| D、 | 礼仪 |
| 参考答案:D。试题解析: | |
| 第8题: |
|
| A、 |
|
| B、 |
|
| C、 |
|
| D、 |
|
| 参考答案:A。试题解析:
| |
| 第9题: |
|
| A、 |
|
| B、 |
|
| C、 |
|
| D、 |
|
| 参考答案:D。试题解析:
| |
| 第10题: |
|
| A、 |
|
| B、 |
|
| C、 |
|
| D、 |
|
| 参考答案:A。试题解析:
| |





























